捡漏的机会又来了!这套房带装修单价2万不到,同小区二手房报价起码贵出4000元/㎡
WXHOUSE报道:
近期锡城司法拍卖成交了一套滨湖区天鹅湖花园273.04平米的房源,最终买家以比494万的评估价低134万的价格成交,实际成交单价只有1.32万元/平米。这样的捡漏机会还能有吗?其实无锡还有一个平台,可以给你捡漏的机会!
那就是公示摇号房源!今年5月曾成交两套中海·凤凰熙岸的房源,销售价格分别为13492.47元/㎡、14634.24元/㎡,远低于市场价,价(确)格(实)透(便)明(宜),而且无须竞拍,最终共吸引了超过500组客户报名参与!
昨日,最新一批备案注销房源公示了,捡漏的机会又来了!
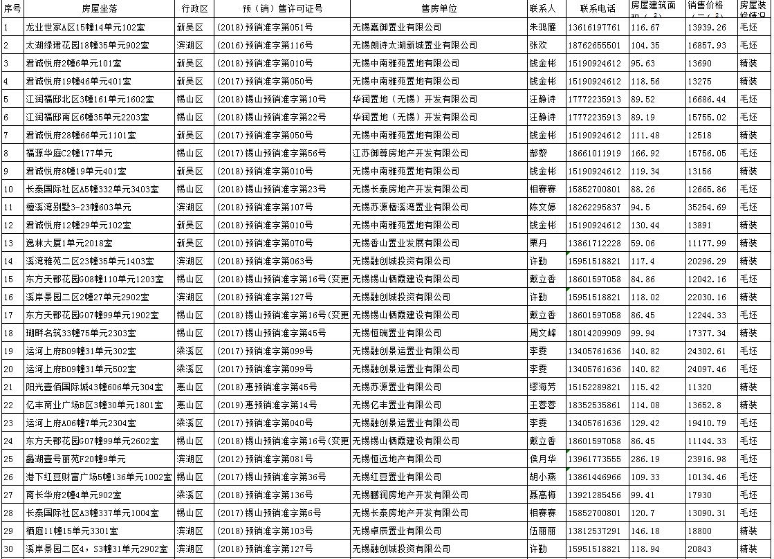
这次公示的一批房源中,朗诗太湖绿郡一套104.35㎡房源价格优势明显,销售单价为16857.93元/㎡ 。据小编了解,这套房源装修部分是拆分的,销售单价为毛坯价格,装修部分价格约为2500元/㎡,实际单价约19357.93元/㎡,实际总价约202万。需要一次性付款。

即便如此,该房源在片区内,无论在单价还是总价上还是有优势的。据安居客平台二手房报价显示,目前滨湖区在售房源均价多在24000-30000元/平米,即便是朗诗太湖绿郡本小区目前挂牌的存量房源报价多在25000-27000元/㎡左右,此外,区域内在售小户型房源不多,总价在200万左右的房源难觅。房源公示不到1天的时间,网络报名人数已达到了118组。
心动,该如何报名?
1、认购人参与认购前须通过房源公示在线登记并取得认购号码。
2、取得认购号码后,认购人按照网上公示的信息与开发企业联系,达成购房意向。
3、客户需符合目前无锡限购政策,报名后持认购码、本人身份证、户口本、结婚证、住房证明等相关凭证,在当月 26 日上午 12 点前与开发企业签订《备案注销房源认购协议》,并缴纳认购保证金(人民币壹万元),取得抽签摇号登记证明。
4、如放弃认购,需在当月 26 日上午 12 点前向开发企业提出书面申请,否则视同不放弃,中签后不能履约的,自行承担违约责任。每套房源,当月每人只能签一份认购协议。
没有看中这套,没关系,本次公示备案注销房源总计30套,其中不乏优质房源,有购房意向的客户不妨关注。

注意事项
1、认购人应充分了解无锡市区购房政策及贷款政策,确保具有购房资格。
2、在线登记截止日期为每月26日上午12点。
3、开发企业核验认购人信息时,认购人需向开发企业提供认购号码和信息密码。信息密码由认购人在线登记时自行设定。
4、认购人如放弃认购,需在当月26日上午12点前向开发企业提出书面申请,否则视同不放弃,中签后不能履约的,自行承担违约责任。
5、摇号中签人在签订商品房买卖合同时,合同中买受人必须与《备案注销房源认购协议》保持一致,不得变更、增减认购人,如摇号中签人无正当理由放弃认购,开发企业有权按照协议不退还认购保证金,该中签人不得再次参与该套房源的认购。
6、每套备案注销房源,当月每人只能签一份订购协议。
7、付款方式和比例由买卖双方先行约定,中签后双方应按约定办理相关手续。
8、公证费用按公证机构服务收费标准收取,由开发企业承担。
9、认购流程中规定的日期如遇法定节假日,则顺延至节假日后第一个工作日。
10、相关备案注销房源资料下载
